郑氏点银:黄金调整关注2045上,原油72下仍弱势
回顾昨日行情走势及出现的技术点:
第一,黄金方面:昨日早间开盘直接拉升,符合周视频解读,隔夜计划的2061上看涨,成功抵达2075;而亚欧盘的持续拉升,美盘认为回踩仍还有二次走高,23点也收报了不错的探底阳K,但可惜出现机构砸盘,破坏技术形态,破位早间低点2061则失败出局;
第二,白银方面:同样也是如此,早间直接拉升,美盘冲高打压,走势这几日比黄金弱;
第三,原油方面:昨日研报指出73.4、74两阻力下依然继续短期看跌走弱,最终的确迎来大幅下探;
今日行情分析解读:
第一,黄金日线级别:昨日收报一根长上影倒锤头阴K线,收盘价终于有所失守5均线,不过10均线预计还要进行争夺,这里的得失才最终决定短期的强弱变化,是否结束慢涨逼空?还是刺破些再延续慢涨走高?若今日守不住10均线2055一线,那么就可能会扩大调整力度,指向周视频给出的以1930-1972两前低点相连的趋势线衍生点,今日上移2012上方,随时间周期会不断慢推动上去;反之,若收盘价能稳住10均线上方,则还可能维持震荡慢涨格局,当然要突破站上2080关口,才能有望去刷新2100;而这两种情况的选择,花落谁家,就得密切留意本周小非农,大非农以及美联储会议等重磅消息来刺激;
第二,黄金小时线级别:从通道来看,今晚留意图中两处趋势支撑衍生点,配合macd的底背离酝酿概率,拉低或容易出现反抽拉升动作;同时,欧盘连阴破新低,美盘先上拉也是容易承压二次打压;因此,大可能还是维持震荡成分,短期阻力2060和2066两处,短期支撑2049和2054两处,若上破2066则可能走强企稳,若下破2049则可能走弱继续下调;
因此,日内黄金理想的走法则是 美盘前反弹,美盘后二次打压,夜间企稳上拉,最终得看日线10均线的收盘争夺来决定后续强弱;
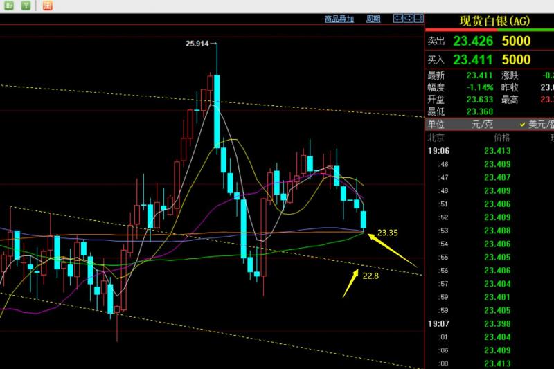
白银方面:白银也是短期逐步打压下行调整,今日试探了日线年均线和66日均线的共振点23.35一线,也看此位置的收盘得失情况,守不住则延续下调至22.8概率;守得住则24.1-23.35还需震荡,可多观察今日;
原油方面:日线级别连阴走弱,有效失守10均线支撑后,则逐步转弱,去再次试探底部68概率,因此这几日依托短期均线继续看跌即可,今日5均线下移71.6,靠近72压力会较大,逢高看压制,日内短期阻力是70.7,若这里都无法突破,就非常弱,对于周线循环的抄底考虑还是耐心等68-67区域;
以上是笔者技术剖析的几个观点,作为参考,也是十年以来,每日12小时以上盯盘、复盘所积累的技术经验总结,每天都会公开技术点,配合文字和视频解读,想学习的朋友,结合实际走势可以去对比参考;认可思路的可以参考操作,带好防守,风控第一;不认可的就当飘过就行;感谢大家的支持和关注;
【文章观点仅供参考,投资有风险,入市需谨慎,理性操作,严格设损,控制仓位,风控第一,盈亏自负】
撰稿人:郑氏点银
每日12小时以上看盘研究,坚持长达十年之久,详细技术解读全网公开,以真心、用心、诚心、恒心、全心服务到底!各大财经网站上撰稿评论!精通K线法则、通道法则、时间法则、均线法则、分割法则、顶底法则;学员合作报名热线——微信:zdf289984986

























































