郑氏点银:黄金2030上抗跌看涨,原油日K10均线站上将企稳
回顾昨日行情走势及出现的技术点:
第一,黄金方面:昨日以日线5均线站上后,认为短期调整结束,回归强势拉升格局,但由于离5均线较远,高位不适合追涨,2040下又存在多重共振阻力,因而给出2037空,跌至2027盈利;晚间虽刺破2040冲了下,但暂时未有延续力度,后半夜又回落至2030-40区间内整理,不过美元仍弱势破底,就提示黄金暂时等不了相对回测低位去看涨,得提前于2030上方进行,给出2034上看涨思路;
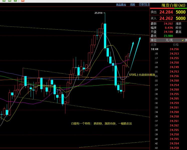
第二,白银方面:昨日白银倒是震荡背离式慢涨,从23.8缓慢拉升至24.2,等待回测一波去看涨自然是没机会下手;
第三,原油方面:昨日预期是等回调一波去看涨反弹,因为前日收探底阳K,不过短周期macd当时有顶背离,又要通道上轨压制于70.3下,但结果并未向下修正,而是继续延续慢涨冲击72关键位置;
今日行情分析解读:
第一,黄金日线级别:从图中已经基本解读了,关于前期通道的循环走法,每一个经历过的特性都基本符合,那么这几日走势应该是震荡抗跌强势慢涨那种,依托5均线上方运行,然后反复去拉升确认前期黄色通道的下轨阻力点,最终会站上而回归强势单边拉升通道内,就自然容易得到加速拉升的动能去回补顶部的长上影部分,再运行几日去刷历史新高,因此趋势看涨始终不变,并且前面下跌调整已经结束,只不过当前价格离5均线还有些距离,所以可能暂时还无法直接强攻,会通过震荡慢涨手法来演绎,等待 5均线的跟随上移靠近再爆发大阳的突破拉升;
第二,黄金4小时级别:周三大阳大幅拉升后,周四整体处于高位抗跌运行,既然暂时无法调整给相对低位,就按逼空手法来对待,因此10均线支撑是一个延续逼空拉升的启动点,今日欧盘2035触及一波拉升10美金就是这个道理;接下来就要关注分割位置2037.5的确认,只要回踩能守住不再收阴下去,则还会进一步逼空走高去试探上一个分割阻力2063;
第三,黄金小时线级别:隔夜回落仍有效支撑2030,今日依托此位置直接震荡慢涨,即将再次测试昨日高点,虽欧盘目前还未强攻突破站上隔夜高点2047.8,不过欧盘是连阳拉升启动,美盘回踩后应该还有二次拉升动能,就看2047.8一线能否被拿下,拿下之后还要看macd是否会红柱放量,那样才能有好的延续过程,否则还是容易冲高回落,打回区间高位震荡;
总结:今日黄金2031上方保持看涨,暂时不去等日线5均线支撑,阻力目标2047.8,往上是2060上下3美金范围;
白银方面:从低点22.5已经拉升至24.3高点,前面跌的快,力度大,一旦结束调整,涨的也快,力度也大,这是白银相对于黄金一个不同的特性;同样,日线5均线上也是回归强势逐步看涨,往上压力是25关口先去试探,而5均线离当下价格也是有一些距离,所以短期走势也会以震荡逼空慢涨来对待,目的就是通过拖时间来等待5均线的靠近,继而再次发力猛攻;今日短线支撑24,昨日支撑23.8,逢低维持看涨,阻力目标24.35、24.6、25三处;
原油方面:昨日延续慢涨触及了底部雏形机构的压力位72关口, 10均线突破站上,短期弱势打压或结束,不过最好要突破有效站稳72上方,才能走出底部整理,向上阶段性展开一波拉升,会先测试大通道的上轨,冲破它,则可以波段持仓,图中美原油连已换月是2月份报价,对应1月份报价高大概0.3左右,自己注意下,所以1月份报价来讲,72关口还未有效站上,今日看收盘情况;
日内运行幅度不大,由于合约的交割时间点不同,报价不同,今日暂时多观望,1月份支撑是71.4,阻力72.4,看区间内得失;
以上是笔者技术剖析的几个观点,作为参考,也是十年以来,每日12小时以上盯盘、复盘所积累的技术经验总结,每天都会公开技术点,配合文字和视频解读,想学习的朋友,结合实际走势可以去对比参考;认可思路的可以参考操作,带好防守,风控第一;不认可的就当飘过就行;感谢大家的支持和关注;
【文章观点仅供参考,投资有风险,入市需谨慎,理性操作,严格设损,控制仓位,风控第一,盈亏自负】
撰稿人:郑氏点银
每日12小时以上看盘研究,坚持长达十年之久,详细技术解读全网公开,以真心、用心、诚心、恒心、全心服务到底!各大财经网站上撰稿评论!精通K线法则、通道法则、时间法则、均线法则、分割法则、顶底法则;学员合作报名热线——微信:zdf289984986
























































