回顾上周五行情走势及出现的技术点:
第一,黄金方面:上周四隔夜冲高走弱,周五依托小时线中轨1826循环看跌压制,欧盘连跌下跌破底成功拿下,而失守通道下轨位置1816一线,即提出1815下弱势继续看跌,由于后半夜没波幅了,又不想隔周末,规避风险,提示1815下保本出;
第二,白银方面:走弱形态比黄金较为明显,可以说上周后续几日展开了弱势的单边加速走法,21.4下提出继续看跌,只空不多思路,最终20.85目标顺利抵达;
今日行情分析解读:
第一,黄金周线级别:短期均线死叉,形态开始连阴,且前期通道上轨1848破位后,进行了反抽确认其有效性,最终抵达试探了文章提及的半年线和66日均线共振点1810一线;上周大阴落成,本周起码试探中轨1792-90一线动能很强,重点关注其得失情况,一旦继续连阴收盘于下方,中期方向会打开进一步调整下行空间;反之,站稳此中轨,则有概率会在1850下进行反复震荡;
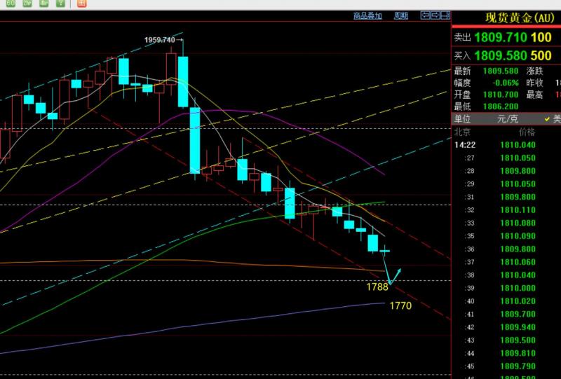
第二,黄金日线级别:当2月15日大阴失守上行通道下轨节点支撑1842-43后,上周整体的走法仍是承压5日或10日不断的震荡走弱刷新低,并展开了坡度偏大的下跌通道,而下轨所衍生指向的位置是1788(按今日来),刚好也是前期的分割位置;当然,若继续直接试探1788,意味着两日连续中大阴,也是一定加速下跌状态,这容易后续出现企稳超跌反弹修正行情;而若上周五中阴后,本周初仍是小K线慢跌格局,按照时间周期的延续,通道下轨衍生处就不止1788了,会靠拢半年线均线位置1770一线概率;而好的参考压制点继续留意短期5日或10日下即可,当然今日一旦来加速续跌的话,就不会试探5均线阻力1820-22;那么上周文章一直反复讲的做超跌反弹行情的位置,对于本周来讲,1800已不适合,偏高,保守至少要等1788,连年均线都有所下移至1795-94,届时文章会进一步的更新,提出拐点信号;当前继续保持短期弱势看跌就行;
第三,黄金4小时级别:短期均线空头排列,那么10日和中轨两处都是不错的压制点;而当前10日未突破站上前,是维持此周期慢跌阴跌状态的;
第四,黄金小时线级别:隔夜连跌弱势,失守了1836、1823.5连接的趋势线支撑,则1815下就成为一定反压点,随着时间延续,今日早盘阻力下移至1814下,也刚好从这开始续跌一波,只是力度暂时不大,只给到1806一线;那么亚盘下跌一波破底后,看午后反抽力度,一旦仍无力破早间高点,则欧盘恐进一步的下探走弱,届时则有概率试探1800关口;反之,若收盘价重回趋势线支撑上,则才有概率去触及下日线5均线下,届时会是更好的高位压制点;总之,反弹继续保持看跌为主;
白银方面:上周五是日线大阴,且连阴压制短期均线不断走弱,今日早盘直接试探了20.5一线,也是去年11月21日启涨点,对应 黄金就是1730,当时文章早分析过,白银到这里,黄金还不会到,因为白银明显弱于黄金;因此,当黄金进一步下跌时,白银20.5是挡不住的,下方要重点关注的是图中趋势线位置20关口或刺破下方些,这里才或是尝试做超跌反弹的参考点,当然反弹修正不一定是反转,届时要关注10日和中轨的承压作用来定,所以不要急于盲目判断是底;而今日短期阻力下移至21下方,或许早盘20.85就极有可能已是日内高位,继续看跌下去;
原油方面:周线级别的走法仍是阴阳切换频繁,还未有后续明显的中期方向;虽有所刺破下跌通道上轨阻力点,但并未有很好的延续反弹势头,仍要继续等待明确的破位形态;日线级别,上周三饱满大阴失守通道下轨,但第二日并未续跌,而是震荡慢涨收阳,周五晚间一波跳水再次打到通道线上马上又反补回去,表明短期多空仍处于相对复杂的争夺中,日内变化速度可能会较快;目前来看,是进行收敛三角末端的整理过程,下轨支撑74.4,上轨79,而短期10日承压76.8,中轨承压77.1,66日承压77.4,这些压力位是周初短周期的承压点,都站稳上行了,才有机会试探三角上轨79高位;由于短趋势一直是维持空头,高点不断下移,马上接近月线收线,若还是维持当前的低位,恐本月形态会利于3月初进一步的下探;因此,整体上还是偏向震荡看跌为主,若74.4通道下轨仍稳定支撑,再考虑适当看反弹;本周初以76.8-77.4区域作为压力点,先看反复压制;站稳77-77.4上方了,再去看一波反弹跟随也来得及;
以上是笔者技术剖析的几个观点,作为参考,也是十年以来,每日12小时以上盯盘、复盘所积累的技术经验总结,每天都会公开技术点,配合文字和视频解读,想学习的朋友,结合实际走势可以去对比参考;认可思路的可以参考操作,带好防守,风控第一;不认可的就当飘过就行;感谢大家的支持和关注;
【文章观点仅供参考,投资有风险,入市需谨慎,理性操作,严格设损,控制仓位,风控第一,盈亏自负】
撰稿人:郑氏点银
每日12小时以上看盘研究,坚持长达十年之久,详细技术解读全网公开,以真心、用心、诚心、恒心、全心服务到底!各大财经网站上撰稿评论!精通K线法则、通道法则、时间法则、均线法则、分割法则、顶底法则;学员合作报名热线——微信:zdf289984986


























































